KimWoo-Seok1
LeeKwan Yong1,2
YeoSang Hun1
JangIn Jun1
ChoiYoung-Eun1
RyuMin Woo1,2
KimKyung Rok1,2,*
-
(Department of Electrical Engineering, Ulsan National Institute of Science and Technology,
Ulsan, Korea)
-
(Ternell Corporation, Ulsan, Korea)
Copyright © The Institute of Electronics and Information Engineers(IEIE)
Index Terms
Halo profile, band-to-band tunneling, T-CMOS, enhanced design window, low-leakage and highdensity T-SRAM
I. INTRODUCTION
Edge artificial-intelligence-of-things (AIoT) devices which typically remain in standby
mode requiring high computing capacity, urge the development of ultra-low leakage
and high-density on-chip SRAMs to maximize battery life [1]. This demand has driven advances in CMOS architecture, such as nanosheet FET, to
support larger memory capacity with a reduced supply voltage ($V_{\rm DD}$) at recent
2-nm technology node [2]. Despite this effort, the scaling trend of bitcell area, off-leakage ($I_{\rm OFF}$),
and $V_{\rm DD}$ have saturated, as shown in Fig. 1. Additionally, structural channel segmentation and reduced heat transfer path in
3D stacked devices cause severe self-heating effects [3] and constraints to implement large capacity of on-chip memory with high energy efficiency.
Fig. 1. Scaling limitations of high-density bitcell area, $I_{\rm OFF}$ and $V_{\rm
DD}$ in conventional CMOS technology.}
To address this issue, recent studies for low-leakage SRAMs are reported in legacy
node [4], using extra supply voltage level or adopting body-biasing scheme [5]. However, these approaches do not fundamentally solve the trade-off between power
and area efficiency required for energy-constrained edge processors.
One promising alternative is the multi-valued logic (MVL), where the logic system
extends beyond binary to higher radix values, enabling improved data density and reduced
power consumption by decreasing the number of interconnections [6]. In our previous works, leakage and bit-density scalable Ternary-CMOS (T-CMOS) technology
using a retrograde profile was reported with 110-nm 4T latch [7], 6T trit-cell [8], 28-nm CMOS foundry [9], and demonstrated up to CIM macro [10].
In this work, we propose a highly scalable T-CMOS using a localized halo profile.
By tuning halo dose/energy/tilt angle, the short-channel effect immune device characteristics
and leakage scalability data are presented. Through the enhanced design window of
halo T-CMOS, high-density 6T Ternary-SRAM (T-SRAM) is demonstrated with sub-pA leakages
at $V_{\rm DD}= 0.5$ V.
II. T-CMOS BY EXPLOITING HALO PROFILE
We successfully fabricate T-CMOS using an optional mask that employs a halo profiles
in 28-nm process, as shown in Fig. 2(a). The fabrication process was carried out by following a sequence of steps: shallow
trench isolation (STI) formation, well/channel implantation, gate stack and spacer
formation, halo/extension implantation, source/drain (S/D) implantation, spike annealing,
silicidation, and back-end-of-line (BEOL). It should be noted that the 28-nm CMOS
process used in this work is based on a gate-first high-k metal gate (HKMG) process
with a MIPS (Metal-Inserted Poly-Silicon) gate structure. For TCAD process simulation,
the gate stack was simplified as SiO${}_{2}$/poly-Si structure. By tuning dose/energy/tilt
angle of the halo doping mask, a highly-doped p-n tunnel junction is formed below
the channel region which generates band-to-band tunneling (BTBT)-based off-leakage
current ($I_{BTBT}$). The picoampere-level $I_{BTBT}$ is successfully obtained at
both 28-nm ternary-nMOS (Tn) and ternary-pMOS (Tp) with $10\times$ lower leakage than
conventional binary one (Fig. 2(b)). The exponential dependence of tunneling leakage and $V_{\rm DS}$ implies dramatic
scaling of static power consumption through $V_{\rm DD}$ scaling. Therefore, our T-CMOS
technology significantly reduces dynamic power consumption at a scaled $V_{\rm DD}$
($< V_{\rm T}$) of 0.5 V, while simultaneously boosting the bit density in on-chip
memory using the same 6T latch cell configuration design as the CMOS one, which is
shown in Fig. 2(c).
Fig. 2. The 28-nm T-CMOS (vs. CMOS): (a) Highly-doped halo profile is formed below
the channel region with specific dose (D) / energy (E) / tilt angle (A) condition.
(b) $I_{\rm DS}$-$V_{\rm GS}$ curves at $V_{\rm DS}= 0.05$ V, 0.5 V. (c) $V_{\rm IN}$-$V_{\rm
OUT}$ at scaled $V_{\rm DD} < V_{\rm T}$ with ternary inverter schematic and symbol.
TVT: Ternary-$V_{\rm T}$ mask.
III. SCALABILITY OF HALO T-CMOS
1. Leakage Scaling by Tuning The Halo Profile
Halo T-CMOS exhibits a higher $V_{\rm T}$ than retrograde one at the same I/I dose
due to the formation of a more localized doping profile below the channel region.
This $V_{\rm T}$ increases further in short-channel devices, where localized halo
implants near S/D extensions merge. As a result, $V_{\rm T}$ roll-off typically observed
in CMOS is gradually mitigated by applying retrograde T-CMOS and nearly eliminated
in halo T-CMOS indicating improved short-channel behavior (Fig. 3(a)).
Fig. 3. (a) Short channel behavior of halo/retro T-CMOS and CMOS. (b) Comparison of
$V_{\rm T}$ and $I_{\rm BTBT}$ with various ion dose conditions. Enhanced channel
control of halo profile enables $I_{\rm BTBT}$ reduction with a reduced dose compared
to retrograde one. LD/HD: low/high ion dose.
More importantly, the higher $V_{\rm T}$ of halo T-CMOS at the same dose condition
enables further leakage suppression by allowing the use of reduced dose levels while
maintaining an equivalent $V_{\rm T}$ to retrograde case (Fig. 3(b)). Additionally, retrograde T-CMOS exhibits asymmetric BTBT current levels between
Tn and Tp at the same $V_{\rm T}$, primarily due to junction depth difference that
modulate the effective doping concentration at the tunneling junction. Thus, it is
expected that halo-based doping profiles are more advantageous for short-channel T-CMOS
design, offering both symmetric and scalable control of BTBT leakage current.
We newly found that increasing halo energy leads to a notable $V_{\rm T}$ enhancement,
which is in contrast to the conventional retrograde case, where higher energy typically
reduces $V_{\rm T}$ due to the formation of a deeper tunnel junction from channel
region. This increased $V_{\rm T}$, enabled by high halo energy condition, provides
additional design room for leakage scaling. In the Tn, high energy of boron induces
a channeling effect through the poly-Si gate, thereby raising the doping concentration
near the channel surface (Fig. 4(a)). Based on well-calibrated TCAD process simulation, we analyzed that the channeling
effect selectively elevates the channel doping concentration while preserving a similar
impurity level near the S/D extensions. Therefore, $V_{\rm T}$ is increased with consistent
level of $I_{BTBT}$, which is favorable for achieving further leakage suppression
under low dose (LD) conditions as shown in Fig. 4(b).
Fig. 4. The scalability of $I_{\rm BTBT}$ according to halo energy. Tn: (a) The channeling
effect of HE halo implant primarily increases doping concentration near channel region,
resulting in similar $I_{\rm BTBT}$ levels with LE one in (b). Tp: (c) Arsenic ions
at HE level diffuse lateral direction below the channel region, leading to $I_{\rm
BTBT}$ reduction in (d). LE/HE: low/high ion energy.
In addition, we found that leakage scaling by high halo energy is more effective in
the Tp. Due to the heavier atomic mass of arsenic, which channeling effect can be
negligible, larger tilt angles are initially applied in conventional p-type FET to
localize dopants near the S/D extensions. When halo energy is increased, arsenic ions
penetrate beyond the S/D extensions and form highly-localized doping profile below
the channel region. This profile increases $V_{\rm T}$, while tunneling leakage is
even decreased due to the formation of gradual doping profile near S/D extensions,
as shown in Figs. 4(c) and (d).
Increasing the halo tilt angle serves an additional design knob for further BTBT current
scaling by enabling additional elevation of $V_{\rm T}$. In high tilt angle, more
localized channel doping profiles are formed for both Tn (Fig. 5(a)) and Tp (Fig. 5(c)). However, higher $I_{BTBT}$ is observed in Tp at high tilt angle condition due to
the increased doping concentration near channel-adjacent S/D extensions. Despite this
intensified junction profile, accompanying elevation of $V_{\rm T}$ effectively compensates
for increased $I_{BTBT}$, offering additional design space to demonstrate low-leakage
T-CMOS. (Fig. 5(b) and (d)).
Fig. 5. The scalability of $I_{\rm BTBT}$ with halo tilt angle. Tn: (a) Increased
tilt angle forms a highly-localized doping profile at the center of sub-channel region,
leading to substantial leakage scaling in (b). Tp: (c) Highly tilted ion increases
the doping level of both the channel and S/D edge regions, leading to further dose
scaling in (d). LA/HA: low/high ion tilted angle.
2. Enhanced Design Window of Halo T-CMOS
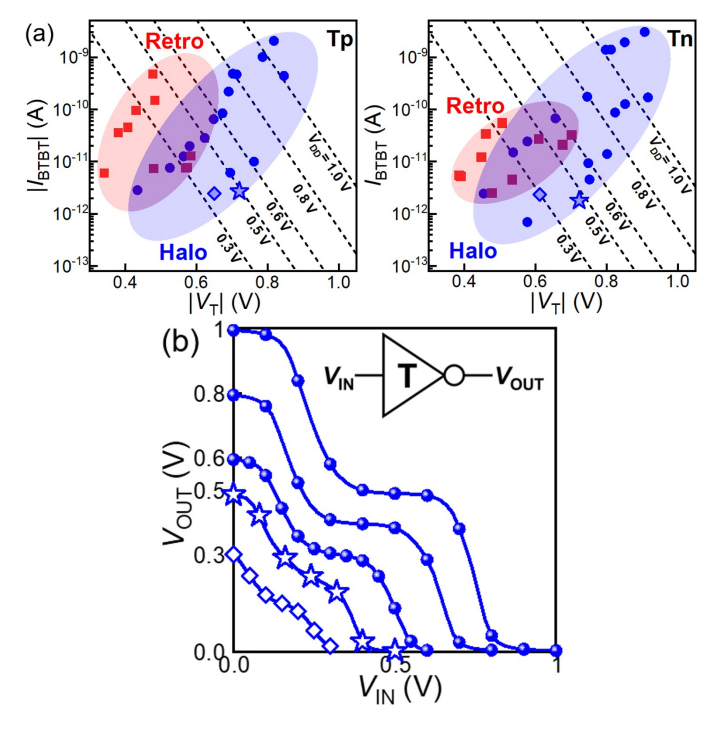
Figs. 6(a) and 6(b) present the design window of ternary devices according to $V_{\rm T}$ and $I_{BTBT}$
data for both Tp and Tn. By leveraging multiple design parameters of halo profile
including dose, energy, and tilt angle, 28-nm halo T-CMOS features leakage-scalable
and robust ternary functionality across a wide sub-$V_{\rm T}$ regime. Owing to this
enlarged design window, ternary operation is experimentally demonstrated at various
$V_{\rm DD}$, including low-leakage 0.5 V operation with sufficient noise margin of
2k${}_{B}$T and even ultra-scaled 0.3 V operation (Fig. 6(b)). This confirms that halo-based T-CMOS technology is applicable to a broad area from
ultra-low power, battery less sleep-mode systems to mainstream logic and memory applications
with nominal $V_{\rm DD}$.
Fig. 6. (a) Comparison of $V_{\rm T}$-$I_{\rm BTBT}$ design window for 28-nm halo
and retrograde T-CMOS. Dashed line shows target specification of T-CMOS to implement
optimal ternary operation. (b) Measured ternary inverters from 1.0 to 0.3 V.
In addition, we experimentally demonstrated variation tolerance of 28-nm T-CMOS inverter
with retrograde doping profile by verifying the feasibility to match Tn and Tp on
large-scale 300-mm silicon wafers [9]. Compared to retrograde profile, halo doping can reduce channel doping level while
maintaining the same $I_{\rm BTBT}$/$V_{\rm T}$ design owing to its locally confined
profile near S/D junction. Therefore, it can be expected that the halo T-CMOS provide
more stable and robust ternary operation than prior retrograde one.
IV. LOW-LEAKAGE AND HIGH-DENSITY TERNARY-SRAM
By using SPICE compact model of T-CMOS [8], we demonstrate a 28-nm ternary on-chip memory cell. As shown in Fig. 7(a), our T-CMOS inverter features ultra-low power ternary operation at a scaled $V_{\rm
DD}$ of 0.5 V, achieving a 63% reduction in leakage current compared to CMOS averaged
across both binary and ternary data storage states. Owing to the exponential dependence
of $I_{\rm BTBT}$ and $V_{\rm DS}$, 93% lower standby leakage is achieved in ternary
data storage. To maximize area efficiency, we leverage a foundry-provided high-density
6T bitcell, enabling 50% higher memory cell density by storing 1-trit (1.5 bits) in
the same 6T configuration shown in Fig. 7(b). Table 1 shows benchmarking results against other low leakage bitcell [11-13]. Our 28-nm 6T T-SRAM exhibits the lowest leakage power of 0.62 pW/bit, achieving
a 22.5% reduction compared to the 0.4 V bitcell (0.8 pW/bit) in [11], and demonstrates the best figure of merit (FoM), defined as cell density divided
by the leakage power.
Fig. 7. (a) Scalable leakage and (b) cell density characteristics of 6T T-SRAM with
same layout design of foundry 6T bitcell.
Table 1. Comparison with other low-leakage SRAMs.
|
|
This work
|
VLSI16 [11]
|
ISSCC13 [12]
|
VLSI20 [13]
|
|
Process
|
28-nm CMOS
|
28-nm FDSOI
|
28-nm CMOS
|
40-nm CMOS
|
|
Cell Area (µm2)
|
0.12
|
0.12
|
0.12
|
0.82
|
|
Cell Density (bit/µm2)
|
12.5*
|
8.33
|
8.33
|
1.22
|
|
VDD (V)
|
0.5
|
0.4
|
0.7
|
0.58
|
|
Leakage Power (pW/bit)
|
0.62*
|
0.8
|
3.5
|
1.03
|
|
FoM (Cell Density / Leakage Power)
|
20.1
|
10.42
|
2.38
|
1.18
|
* trit was normalized by bit, 1 trit $=$ 1.5 bits
In terms of read/write margins of proposed T-SRAM, the static noise margin (SNM) of
binary and ternary inverters should be evaluated, since it serves as a fundamental
metric for both read and write stability. In ideal cases, a ternary inverter requires
$1.5\times$ higher $V_{\rm DD}$ than a binary inverter to achieve the same SNM. Owing
to the subthreshold operation principle, the proposed 0.5 V T-SRAM can provide similar
noise margins to that of a 0.4 V 28-nm bitcell [11] by exploiting low thermal budget process and S/D extension underlap engineering.
Moreover, our T-CMOS technology is more preferably applicable to advanced device structures
such as FinFET and GAAFET since the channel and BTBT junction can be completely separated
[14]. Specifically, by employing ground-plane (GP) [15] and punch-through stopper (PTS) doping techniques [16], constant tunneling leakage in the sub-fin or bottom transistor regions can be obtained
in advanced 3D Fin or GAA structure for stable T-CMOS operation.
VI. CONCLUSION
We have experimentally demonstrated highly scalable 28-nm halo T-CMOS technology.
By tuning ion dose, energy, and tilt angle, we verified scalable tunneling leakage
and subthreshold ternary operation with an expanded design window. The low-leakage
6T T-SRAM was implemented, boosting information density to 1.5-bits per cell. Therefore,
the proposed halo T-CMOS technology offers a promising solution for always-on edge
applications and wireless sensor nodes by enabling longer system lifetimes and reduced
silicon footprint.
ACKNOWLEDGMENTS
This work was supported in part by the National Research Foundation of Korea (NRF)
funded by the Korea government(MSIT) under Grant RS-2024-00351104 and RS-2024-00411374;
and in part by Ulsan National Institute of Science and Technology under Grant 1.250005.01;
the EDA tool were supported by the IC Design Education Center (IDEC), Korea.
References
Z. Wang, L. Ye, Y. Liu, P. Zhou, Z. Tan, and H. Fan, ``12.1 A 148 nW general-purpose
event-driven intelligent wake-up chip for AIoT devices using asynchronous spike-based
feature extractor and convolutional neural network,'' Proc. of IEEE International
Solid-State Circuits Conference, pp. 436-438, 2021.

T.-Y. J. Chang, Y.-H. Chen, K. Reddy, N. Puri, T. Masina, and K.-C. Lin, ``A 38.1
Mb/mm$^2$ SRAM in a 2 nm CMOS nanosheet technology for high-density and energy-efficient
compute,'' Proc. of IEEE International Solid-State Circuits Conference, vol. 68, pp.
492–494, 2025.

B. Vermeersch, E. Bury, Y. Xiang, P. Schuddinck, K. K. Bhuwalka, and G. Hellings,
``Self-heating in iN8–iN2 CMOS logic cells: Thermal impact of architecture (FinFET,
nanosheet, forksheet and CFET) and scaling boosters,'' Proc. of IEEE Symposium on
VLSI Technology and Circuits, pp. 371-372, 2022.

Y. Zhang, C. Xue, X. Wang, T. Liu, J. Gao, and P. Chen, ``Single-mode CMOS 6T-SRAM
macros with keeper-loading-free peripherals and row-separate dynamic body bias achieving
2.53 fW/bit leakage for AIoT sensing platforms,'' Proc. of IEEE International Solid-State
Circuits Conference, pp. 184-186, 2022.

M. Yabuuchi, K. Nii; S. Tanaka, Y. Shinozaki, Y. Yamamoto, and T. Hasegawa, ``A 65
nm 1.0 V 1.84 ns silicon-on-thin-box (SOTB) embedded SRAM with 13.72 nW/Mbit standby
power for smart IoT,'' Proc. of IEEE Symposium on VLSI Technology, pp. C220-C221,
2017.

D. Ha, and H.-S. Kim, ``Prospective innovation of DRAM, flash, and logic technologies
for digital transformation (DX) era,'' Proc. of IEEE Symposium on VLSI Technology
and Circuits, pp. 417-418, 2022.

J. W. Jeong, Y.-E. Choi, W.-S. Kim, J.-H. Park, S. Kim, S. Shin, K. Lee, J. Chang,
S.-J. Kim, and K. R. Kim, ``Tunnelling-based ternary metal–oxide–semiconductor technology,''
Nature Electronics, vol. 2, no. 7, pp. 307–312, 2019.

Y.-E. Choi, W.-S. Kim, M. Kim, M. W. Ryu, and K. R. Kim, ``Low power and high density
ternary-SRAM for always-on applications,'' Proc. of Device Research Conference, pp.
1-2, 2023.

W.-S. Kim, Y.-E. Choi, M. Kim, M. W. Ryu, and K. R. Kim, ``Energy efficient ternary
device in 28-nm CMOS technology with excellent short-channel effect immunity and variation
tolerance characteristics,'' Proc. of Device Research Conference, pp. 1-2, 2023.

M. Kim, H. Jeong, W.-S. Kim, Y. Jeong, Y.-E. Choi, J. Park, M. W. Ryu, Y. K. Lee,
K. LEE, and K. R. Kim, ``A 28-nm 323 TOPS/mm 2/b and 2007 TOPS/W/b ternary latch based
sparsity-aware CIM macro with double-sampling ternary ADC,'' Proc. of IEEE Asian Solid-State
Circuits Conference, pp. 1-3, 2024.

R. Ranica, N.Planes, V. Huard, O. Weber, D. Noblet, D. Croain, F. Giner, S. Naudet,
P. Mergault, S. Ibars, A. Villaret, M. Parra, S. Haendler, M. Quoirin, F. Cacho, C.
Julien, F. Terrier, L. Ciampolini, D. Turgis, C. Lecocq, and F. Arnaud, ``28 nm FDSOI
technology sub-0.6 V SRAM Vmin assessment for ultra low voltage applications,'' Proc.
of IEEE Symposium on VLSI Circuits, pp. 1-2, 2016.

F. Tachibana, O. Hirabayashi, Y. Takeyama, M. Shizuno, A. Kawasumi, A. Suzuki, Y.
Niki, S. Sasaki, T. Yabe, and Y. Unekawa, ``A 27% active and 85% standby power reduction
in dual-power-supply SRAM using BL power calculator and digitally controllable retention
circuit,'' Proc. of IEEE International Solid-State Circuits Conference, pp. 320-321,
2013.

J. Wang, H. An, Q. Zhang, H. S. Kim, D. Blaauw, and D. Sylvester, ``1.03 pW/b ultra-low
leakage voltage-stacked SRAM for intelligent edge processors,'' Proc. of IEEE Symposium
on VLSI Circuits, pp. 1-2, 2020.

K. R. Kim, J. W. Jeong, Y.-E. Choi, W.-S. Kim, and J. Chang, ``Multi-valued logic
device technology; Overview, status, and its future for peta-scale information density,''
Journal of Semiconductor Engineering, vol. 1, no. 1, pp. 57–63, 2020.

S. Kim, K. Lee, J.-H. Lee, D. Kwon, and B.-G. Park, ``Vertically stacked gate-all-around
structured tunneling-based ternary-CMOS,'' IEEE Transactions on Electron Devices,
vol. 67, no. 9, pp. 3889-3893, 2020.

J. Zhang, J. Frougier, A. Greene, X. Miao, L. Yu, R. Vega, P. Montanini, C. Durfee,
A. Gaul, S. Pancharatnam, C. Adams, H. Wu, H. Zhou, T. Shen, R. Xie, M. Sankarapandian,
J. Wang, K. Watanabe, R. Bao, X. Liu, C. Park, H. Shobha, P. Joseph, D. Kong, A. Arceo
De La Pena, J. Li, R. Conti, D. Dechene, N. Loubet, R. Chao, T. Yamashita, R. Robison,
V. Basker, K. Zhao, D. Guo, B. Haran, R. Divakaruni, and H. Bu, ``Full bottom dielectric
isolation to enable stacked nanosheet transistor for low power and high performance
applications,'' Proc. of IEEE International Electron Devices Meeting, pp. 11.6.1-11.6.4,
2019.

Woo-Seok Kim received his B.S. degree in electrical and computer engineering from
the Ulsan National Institute of Science and Technology (UNIST), Ulsan, Korea, 2019,
where He is currently pursuing a combined M.S.-Ph.D. degree. His research interests
include highly bit-dense and energy-efficient on-chip SRAM by tunneling-based Ternary-CMOS
technology.
Kwan Yong Lee received his B.S. degree in electronic and electrical Engineering,
Hongik University, Seoul, Korea, 2023 and an M.S. degree in electrical engineering,
Ulsan National Institute of Science and Technology (UNIST), Ulsan, Korea, 2025. His
research interests include variability analysis and optimization of ternary devices/memory.
Sang Hun Yeo received his B.S. degree in electronic engineering, Kyoungpook National
University, Daegu, Korea, 2023. He is currently pursuing a Ph.D. degree in the department
of electrical engineering from Ulsan National Institute of Science and Technology
(UNIST), Korea. His research interests include ternary stacked 3D transistors, physical
modeling-based device/circuit simulation.
In Jun Jang received his B.S. degree in electrical engineering, Ulsan National
Institute of Science and Technology (UNIST), Ulsan, Korea, 2024. His current scientific
interests include degradation phenomena and the reliability prediction for future
CMOS devices.
Young-Eun Choi received her B.S., and Ph.D. degrees from Ulsan National Institute
of Science and Technology (UNIST), Ulsan, Korea, 2018 and 2025, respectively, all
in electrical engineering. Her current research interests include nanoelectronic emerging
devices and circuits, low-power nanoscale ICs, neuromorphic device, ternary logic
devices, future CMOS and memory devices, and its device modeling and digital circuit
design.
Min Woo Ryu received his B.S. degree in electrical engineering from Soongsil University,
Seoul, Korea, 2011. And he received a Ph.D. degree in electrical engineering from
Ulsan National Institute of Science and Technology (UNIST), Ulsan, Korea, 2017. He
has been a Research Professor at the department of electrical engineering, UNIST,
Ulsan, Korea, since 2021. His research interests include physical modeling and experiments
of THz-detectors based on plasma wave transistors (PWT) and Schottky barrier diode
(SBD).
Kyung Rok Kim received his B.S., M.S., and Ph.D. degrees from Seoul National University,
Seoul, Korea, in 1999, 2001, and 2004, respectively, all in electrical engineering
and computer science. From 2004 to 2006, he was with the Stanford Technology Computer-Aided
Design (TCAD) Group of the Center for Integrated Systems, Stanford University, Stanford,
CA, where he developed a TCAD based quantum tunneling model, as a Postdoctoral Research
Associate. From 2006 to 2010, he was with Samsung Electronics Corporation, Ltd., Suwon-si,
Korea, where he developed unified process-device-circuit analysis tools for memory
and logic devices, as a Senior Engineer. In 2010, he joined the School of Electrical
and Computer Engineering, Ulsan National Institute of Science and Technology, Ulsan,
Korea, where he is currently a tenured full professor. His current research interests
include nanoelectronic emerging devices and circuits, future CMOS and memory devices,
low-voltage and low-power nanoscale ICs, and neuromorphic device modeling and experiments
based on Si quantum devices, terahertz (THz) plasma wave transistors and its device/circuit
modeling based on the TCAD platform.