Fast and Highly Selective GaN-over-AlGaN Etching with Low Surface Damage
Kiyoung Jang1
Junseok Heo1,2,*
-
(Department of Intelligence Semiconductor Engineering, Ajou University, Suwon 16499,
South Korea)
-
(Department of Electrical and Computer Engineering, Ajou University, Suwon 16499, South
Korea)
Copyright © The Institute of Electronics and Information Engineers(IEIE)
Index Terms
Selective etching, ICP-RIE, GaN/AlGaN, low etching damage, 27.12 MHz ICP, BCl3/SF6
I. INTRODUCTION
Gallium nitride (GaN)-based high electron mobility transistors (HEMTs) are regarded
as promising candidates for next-generation power and high-frequency devices due to
their wide bandgap, high breakdown voltage, high current density, and excellent thermal
stability [1-
4]. In AlGaN/GaN heterostructures, a two-dimensional electron gas (2DEG) is formed at
the interface through strong spontaneous and piezoelectric polarization effects [5-
7], which enables outstanding device performance in power conversion, RF communication,
and optoelectronics [8-
10].
A crucial step in fabricating AlGaN/GaN HEMTs is the selective etching of GaN over
AlGaN. Because the AlGaN barrier is typically only 15-30 nm thick, even slight overetching
can reduce the 2DEG density and degrade channel conductivity, while insufficient etching
may cause leakage paths and device instability [11-
13]. This requirement is especially critical in normally-off p-GaN gate HEMTs, where
the p-GaN layer in the access region must be removed without damaging the thin AlGaN
barrier. Any unintentional etching of the underlying AlGaN directly decreases the
2DEG density and results in serious device performance degradation. For this reason,
achieving high GaN-over-AlGaN selectivity and minimizing etch-induced damage on the
exposed AlGaN surface are essential for reliable device operation. Achieving highly
selective GaN etching with minimal plasma-induced damage is therefore essential for
reliable device fabrication [14,
15].
Various inductively coupled plasma reactive ion etching (ICP-RIE) chemistries have
been investigated for selective GaN/AlGaN etching. Among them, BCl3/SF6 mixtures have attracted attention since fluorine species form stable Al-F passivation
layers that suppress AlGaN etching, with reported selectivities up to ~40:1 [16-
18]. Oxygen-containing plasmas such as O2/BCl3 have further improved selectivity by forming Al-O surface layers, achieving values
of ~70:1 [19,
20]. More recently, atomic layer etching (ALE) has been explored to achieve atomic-scale
precision [21-
23]. However, ALE generally suffers from very low etch rates, such that an etching of
~100 nm thick GaN may require several hours. This severely limits its productivity
and practicality for large-scale device fabrication.
While previous works have mainly optimized plasma parameters such as power, pressure,
and gas ratio, substrate temperature has received less attention despite its strong
influence on etch selectivity and post-etch surface states. Furthermore, few studies
have systematically correlated temperature effects with both surface chemistry and
electrical characteristics.
In this work, we address these issues by employing a customized ICP-RIE system designed
for precise substrate temperature control using a circulating oil-bath system. The
system also utilizes a 27.12 MHz ICP source and a helical resonance structure. Compared
to the conventional 13.56 MHz, the higher driving frequency of 27.12 MHz increases
electron oscillation and electron density, while the helical design enhances plasma
coupling and energy transfer stability. Together, these features significantly elevate
electron density, increase gas dissociation efficiency, and enable a high-density
radical environment while minimizing physical damage. Using this platform, we investigated
the effects of gas composition and substrate temperature on GaN/AlGaN etching behavior.
Surface and electrical properties were comprehensively analyzed through X-ray photoelectron
spectroscopy (XPS), atomic force microscopy (AFM), and Schottky-diode leakage measurements.
A record-high GaN-over-AlGaN selectivity of 78:1 was achieved, while simultaneously
demonstrating improved surface smoothness and lower leakage current at an optimized
temperature of ~30 °C.
Fig. 1. Schematic illustration of the custom ICP-RIE system used in this study, equipped
with substrate temperature control.
II. EXPERIMENTS
Epitaxial heterostructures with a conventional AlGaN/GaN HEMT configuration were employed
in this study. Two types of samples were prepared: (i) AlN/AlGaN buffer / GaN channel
(~1.2 μm) / Al0.25Ga0.75N barrier (20 nm) / GaN cap (240 nm) and (ii) AlN/AlGaN buffer / GaN channel (~1.2
μm) / Al0.25Ga0.75N barrier (20 nm) without the GaN cap. The use of these two structures enabled a direct
comparison of GaN and AlGaN etching characteristics under identical plasma conditions.
Selective etching was performed in a custom ICP-RIE system (CN1, CS-AJOU-2220). The
ICP source was operated at 27.12 MHz and the RF bias at 12.56 MHz. Chamber pressure
and ICP/bias powers were fixed at 40 mTorr and 1000/25 W, respectively, unless otherwise
specified. Substrate temperature was precisely regulated by a constant-temperature
bath (Labcommerce, COB10) that circulated a perfluorinated coolant (Galden, HT-230).
The coolant maintained the temperature of the heat exchanger beneath the substrate
stage, and helium backside gas was used to ensure efficient thermal transfer, thereby
stabilizing the wafer surface temperature within ±3 °C throughout processing. This
configuration enabled systematic exploration of the substrate temperature effect beyond
conventional chiller-based control.
The plasma chemistry consisted of a BCl3/SF6 mixture, with the SF6 fraction varied from 10% to 35% at a constant total flow of 90 sccm. After determining
the gas ratio yielding the highest GaN/AlGaN selectivity, the substrate temperature
was varied between 17.5 °C and 80 °C to evaluate temperature-dependent etch characteristics.
The etch depth was measured using a KLA-Tencor Alpha-Step D-500 profilometer. The
etching times were fixed at 60 s for GaN and 250 s for AlGaN, which resulted in 90-210
nm of GaN being removed and 5-20 nm of AlGaN being etched, depending on the condition.
Post-etch surface characterization was performed by AFM (Park Systems NX10) to evaluate
root-mean-square (RMS) roughness, and by XPS (Thermo Fisher Scientific K-Alpha Plus)
to analyze chemical residues such as Al-F and Al-O. To assess the electrical impact
of etching, Ni/Au Schottky electrodes were deposited by e-beam evaporation, and current-voltage
(I-V) characteristics were measured using a Keithley 4200A parameter analyzer. Etch
selectivity was defined as the ratio of the GaN etch rate to the AlGaN etch rate,
with each condition confirmed through repeated experiments. To ensure reliability
and reproducibility, measurements were performed on at least three devices under identical
conditions to verify the consistency of the results. The data are presented as the
arithmetic mean of the measured values, with error bars representing the standard
deviation to indicate the error range.
III. RESULTS AND DISCUSSION
1. SF6 Concentration
The effect of SF6 concentration in the BCl3/SF6 plasma was investigated at a fixed substrate temperature of 17.5 °C. As shown in
Fig. 2(a), the GaN etch rate increased with the addition of SF6, reaching ~3.2 nm/s at 20%. This enhancement is attributed not to a simple increase
in chlorine radicals but to modifications in plasma chemistry. At low SF6 fractions, F atoms react with B species to form volatile BF3, thereby reducing B-rich residues that can inhibit etching. In addition, the presence
of SF6 promotes the formation of mixed BClxFy radicals and enhances BCl3 dissociation efficiency, leading to higher reactivity of Cl species. These effects
facilitate the efficient formation and desorption of volatile GaCl3, resulting in a higher GaN etch rate. When the SF6 fraction exceeded 20%, however, involatile GaFx accumulated on the surface, suppressing GaN etching and decreasing the rate [16,
24-
26].
Fig. 2. Etching characteristics at 17.5 °C as a function of SF6/BCl3 ratio: (a) GaN
etch rate, (b) AlGaN etch rate, and (c) GaN-over-AlGaN selectivity.
In contrast, the AlGaN etch rate decreased sharply with increasing SF6 up to 20% and continued to decrease more gradually at higher fractions, as shown
in Fig. 2(b). This suppression is caused by the formation of stable, non-volatile AlF3 passivation layers, which act as an effective etch stop. As a result of these contrasting
trends, the GaN-over-AlGaN selectivity shown in Fig. 2(c) reached a maximum of ~78:1 at 30% SF6. Notably, this high selectivity is enabled by the 27.12 MHz high-frequency source
and the helical resonance structure, which generate a high-density radical environment.
This environment promotes the formation of volatile Ga-Cl byproducts on GaN and strong
Al-F passivation on AlGaN. Under this condition, GaN etching remained efficient, while
AlGaN removal was strongly inhibited by fluorine-based passivation. These findings
confirm that SF6 plays a dual role: it enhances GaN etching at low concentrations by removing B-related
inhibiting species and activating chlorine chemistry, while simultaneously suppressing
AlGaN etching through Al-F passivation.
2. Substrate Temperature
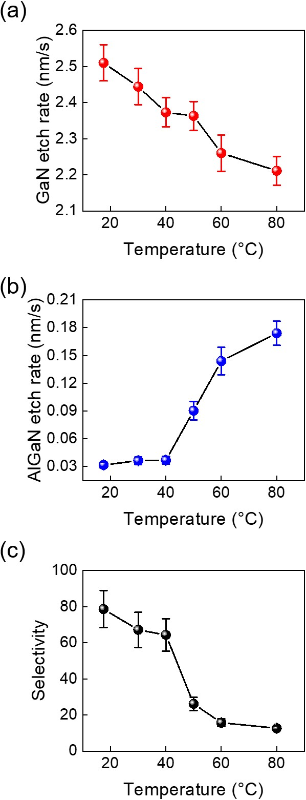
The effect of substrate temperature was investigated under the optimized gas ratio
of 30% SF6 in BCl3/SF6 plasma. As shown in Fig. 3(a), the GaN etch rate exhibited little variation with temperature, reflecting its volatile
GaCl3 pathway that is relatively insensitive to thermal conditions [27]. The slight increase at lower temperatures is attributed to the longer radical residence
time, which enhances surface adsorption and Ga-Cl formation, with facilitating efficient
ion-assisted removal. By contrast, the AlGaN etch rate increased significantly with
temperature (Fig. 3(b)), owing to the thermal instability of the AlF3 passivation layer. This contrast is summarized in Fig. 3(c): the GaN-over-AlGaN selectivity was maximized at low temperatures, but it decreased
sharply once the temperature exceeded 40 °C. These results highlight that strict temperature
control is essential for maintaining high selectivity, and that the optimal range
lies around 30 °C.
Fig. 3. Etching characteristics as a function of substrate temperature at an optimized
SF6/BCl3 ratio of 30%: (a) GaN etch rate, (b) AlGaN etch rate, and (c) GaN-over-AlGaN
selectivity.
XPS spectra provide further evidence of these temperature-dependent mechanisms (Fig. 4). The Al3+ peak associated with Al2O3 appeared at ~74 eV, while that of AlF3 was located at ~76 eV. Strong Al-F signals were observed at 17.5 °C and 30 °C, but
at 50 °C and 80 °C the Al-F peak intensity decreased and shifted toward Al-O-F bonding,
indicating breakdown of fluorine passivation. The trend of Al-F intensity was consistent
with the selectivity behavior in Fig. 3(c), demonstrating that Al-F stability is the key factor for achieving high selectivity.
At lower temperature, the increase in Al-O bonding reflected greater accumulation
of AlCl3 by-products, which oxidized into AlOx upon air exposure. This indicates unintended surface oxidation at very low temperature.
Fig. 4(e) further quantifies the chemical state evolution with temperature. The area intensities
of Al-F and Al-O components both increased at lower temperatures, reflecting greater
retention of reaction by-products. Among them, the Al-O component includes contributions
from AlCl3 residues that oxidized into Al2O3 upon air exposure. This explains why, although low temperatures enhance selectivity,
excessive by-product accumulation at 17.5 °C degrades surface quality.
Fig. 4. XPS spectra of Al 2p core level for etched AlGaN surfaces at (a) 17.5 °C,
(b) 30 °C, (c) 50 °C, and (d) 80 °C, showing contributions from Al–F (~76 eV) and
Al–O (~74 eV) bonding. (e) Comparison of peak area intensities of Al–F and Al–O as
a function of substrate temperature.
AFM images (3 μm × 3 μm scan area) confirmed the temperature dependence of surface
morphology (Figs. 5(a)-(d)). The RMS roughness increased from ~0.9 nm at 17.5 °C to ~3.8 nm at 80 °C. Both 17.5
°C and 30 °C produced relatively smooth surfaces, but the 30 °C sample exhibited the
most uniform morphology. The slightly higher roughness at 17.5 °C is attributed to
AlCl3 residues that oxidized into AlOx upon exposure to air. At temperatures above 30 °C, roughness increased drastically
due to the collapse of Al-F passivation (Fig. 5(e)), exposing Al/Ga sites to direct ion bombardment and chemical attack, which induced
severe plasma damage.
Fig. 5. AFM images (3 μm × 3 μm scan area) of etched AlGaN surfaces at substrate temperatures
of (a) 17.5 °C, (b) 30 °C, (c) 50 °C, and (d) 80 °C. The color scale bar shown to
the right of (a) applies to both (a) and (b), and the scale bar shown to the right
of (c) applies to both (c) and (d). (e) RMS roughness values as a function of temperature,
indicating a significant increase in surface roughness at elevated temperatures.
The electrical properties measured by Schottky-diode structures provided further insight
(Fig. 6). Two Ni/Au contacts (0.1 mm × 0.1 mm) were fabricated to form a back-to-back Schottky
configuration, so the measured current corresponds to the reverse-biased junction
and is limited by its reverse saturation current. As a result, the I-V curves exhibited
a plateau beyond ~5 V, reflecting the surface-limited leakage path rather than avalanche
breakdown. The absolute leakage current level varied strongly with etching temperature:
~5.3×10-4 A/mm at 17.5 °C, minimized to ~4.0×10-4 A/mm at 30 °C, and increasing markedly to ~1.9×10-3 A/mm at 80 °C. These results indicate that higher leakage originates from increased
trap-assisted conduction along damaged or oxidized surfaces. The lowest leakage at
30 °C confirms that this intermediate temperature balances stable fluorine passivation
and limited AlCl3 oxidation, thereby providing the most stable surface state.
Fig. 6. (a) Schematic of the measurement structure for leakage current characterization
using Ni/Au Schottky contacts on etched AlGaN surfaces. (b) Measured I-VA characteristics
of the samples etched at different temperatures, showing that leakage current increases
with higher substrate temperature, while the lowest leakage is observed at 30 °C.
IV. CONCLUSIONS
In this work, selective etching of GaN over AlGaN was systematically investigated
using a customized BCl3/SF6 ICP-RIE system equipped with precise oil-bath temperature control and operated at
a high ICP frequency of 27.12 MHz using a helical resonance ICP source. The study
demonstrated that both gas composition and substrate temperature critically determine
etching behavior, surface chemistry, and electrical integrity. By optimizing the BCl3/SF6 ratio to 30% SF6, a maximum GaN-over-AlGaN selectivity of 78:1 was achieved. This record high selectivity
was primarily driven by the 27.12 MHz helical resonance ICP source, which generated
a high-density radical environment. This environment promoted volatile Ga-Cl formation
on GaN and strong Al-F passivation on AlGaN, thereby ensuring a fast GaN etch rate
and a suppressed AlGaN etch rate with minimal physical damage. Additionally, precise
temperature control preserved the passivation layer's thermal stability. Temperature-dependent
experiments revealed that although very low temperatures enhanced selectivity, they
also promoted the retention and oxidation of AlCl3 by-products. Conversely, elevated temperatures (> 40 °C) destabilized Al-F passivation,
leading to degraded selectivity, increased surface roughness, and higher leakage current.
An intermediate temperature of ~30 °C provided the best balance, simultaneously yielding
high selectivity, smooth morphology, and minimized electrical degradation. These results
establish that selective, high-throughput, and low-damage GaN etching can be realized
through the combined control of substrate temperature and plasma frequency. Compared
with previous reports, the present process not only achieved record-high selectivity
but also demonstrated superior surface and electrical characteristics, offering both
scientific insights and practical advantages for scalable GaN/AlGaN HEMT fabrication.
ACKNOWLEDGEMENTS
This work was supported by Institute of Information & communications Technology Planning
and Evaluation (IITP) grant funded by the Korea government (MSIP) (No. RS-2024-00355931),
and Korea Planning & Evaluation Institute of Industrial Technology (KEIT) grant funded
by the Korea government (MOTIE) (No. 20026440).
REFERENCES
Saito W. , Takada Y. , Kuraguchi M. , Tsuda K. , Omura I. , Ogura T. , Ohashi H. ,
2006, Recessed-gate structure approach toward normally off high-voltage AlGaN/GaN
HEMT for power electronics applications, IEEE Transactions on Electron Devices, Vol.
53, No. 2, pp. 356-362

Haziq M. , Rahman M. A. , Rahim A. A. , Rahman M. F. , 2022, Challenges and opportunities
for high-power and high-frequency AlGaN/GaN high-electron-mobility transistor (HEMT)
applications: A review, Micromachines, Vol. 13, No. 12, pp. 2133

Boutros K. S. , Chu R. , Hughes B. , 2012, GaN power electronics for automotive application,
Proc. of 2012 IEEE EnergyTech, pp. 1-4

Gupta A. , Sharma R. , Singh A. K. , 2016, Design and simulation of GaN HEMT and its
application to RF amplifiers, Proc. of 2016 Progress in Electromagnetics Research
Symposium (PIERS)

Sacconi F. , Di Carlo A. , Lugli P. , Lavagna S. , 2001, Spontaneous and piezoelectric
polarization effects on the output characteristics of AlGaN/GaN heterojunction modulation
doped FETs, IEEE Transactions on Electron Devices, Vol. 48, No. 3, pp. 450-457

Mishra U. K. , Parikh P. , Wu Y.-F. , 2002, AlGaN/GaN HEMTs—An overview of device
operation and applications, Proceedings of the IEEE, Vol. 90, No. 6, pp. 1022-1031

Hashizume T. , Ootomo S. , Hasegawa H. , 2001, Chemistry and electrical properties
of surfaces of GaN and GaN/AlGaN heterostructures, Journal of Vacuum Science and Technology
B: Microelectronics and Nanometer Structures Processing, Measurement, and Phenomena,
Vol. 19, No. 4, pp. 1675-1681

Boutros K. S. , Chu R. , Hughes B. , 2012, GaN power electronics for automotive application,
Proc. of 2012 IEEE EnergyTech, pp. 1-4

Gupta A. , Sharma R. , Singh A. K. , 2016, Design and simulation of GaN HEMT and its
application to RF amplifiers, Proc. of 2016 Progress in Electromagnetics Research
Symposium (PIERS)

Arakawa Y. , 2002, Progress in GaN-based quantum dots for optoelectronics applications,
IEEE Journal of Selected Topics in Quantum Electronics, Vol. 8, No. 4, pp. 823-832

Lükens G. , Stoffels S. , Van Hove M. , Wellekens D. , Decoutere S. , 2018, Self-aligned
process for selectively etched p-GaN-gated AlGaN/GaN-on-Si HFETs, IEEE Transactions
on Electron Devices, Vol. 65, No. 9, pp. 3732-3738

Su L.-Y. , Lee F. , Huang J. J. , 2014, Enhancement-mode GaN-based high-electron mobility
transistors on the Si substrate with a p-type GaN cap layer, IEEE Transactions on
Electron Devices, Vol. 61, No. 2, pp. 460-465

Huang S. , Marcon D. , Van Hove M. , Decoutere S. , 2018, Ultrathin-barrier AlGaN/GaN
heterostructure: A recess-free technology for manufacturing high-performance GaN-on-Si
power devices, IEEE Transactions on Electron Devices, Vol. 65, No. 1, pp. 207-214

Marcon D. , Van Hove M. , Decoutere S. , 2015, Direct comparison of GaN-based e-mode
architectures (recessed MISHEMT and p-GaN HEMTs) processed on 200 mm GaN-on-Si with
Au-free technology, Gallium Nitride Materials and Devices X, SPIE Proceedings, Vol.
9363

Zhang P. , Jiang H. , Wang J. , 2022, High selectivity, low damage ICP etching of
p-GaN over AlGaN for normally-off p-GaN HEMTs application, Micromachines, Vol. 13,
No. 4, pp. 589

Oh C. S. , Kim J. H. , Lee S. M. , 2003, GaN etch enhancement in inductively coupled
BCl3 plasma with the addition of N2 and SF6 gas, Semiconductor Science and Technology,
Vol. 19, No. 2, pp. 172-178

Buttari D. , Choi J. W. , Henry R. L. , 2004, Selective dry etching of GaN over AlGaN
in BCl3/SF6 mixtures, International Journal of High Speed Electronics and Systems,
Vol. 14, No. 3, pp. 756-761

Beheshti M. , Westerman R. , 2021, Smooth, low rate, selective GaN/AlGaN etch, AIP
Advances, Vol. 11, No. 2, pp. 025104

Han Y. , Sugiura T. , Kachi T. , 2003, Highly selective dry etching of GaN over AlGaN
using inductively coupled Cl2/N2/O2 plasmas, Japanese Journal of Applied Physics,
Vol. 42, No. 10A, pp. L1139-L1141

Wong J. C. , Williams K. R. , Wallace R. M. , 2018, Selective anisotropic etching
of GaN over AlGaN for very thin films, Journal of Vacuum Science and Technology A,
Vol. 36, No. 3, pp. 031301

Guan L. , Li J. , Zhang X. , 2022, Plasma atomic layer etching of GaN/AlGaN materials
and application: An overview, Journal of Semiconductors, Vol. 43, No. 11, pp. 113101

Kanarik K. J. , Tan S. , Gottscho R. A. , 2015, Overview of atomic layer etching in
the semiconductor industry, Journal of Vacuum Science and Technology A, Vol. 33, No.
2, pp. 020802

Agarwal A. , Kushner M. J. , 2009, Plasma atomic layer etching using conventional
plasma equipment, Journal of Vacuum Science and Technology A, Vol. 27, No. 1, pp.
37-50

Zhang P. , Jiang H. , Wang J. , 2022, High selectivity, low damage ICP etching of
p-GaN over AlGaN for normally-off p-GaN HEMTs application, Micromachines, Vol. 13,
No. 4, pp. 589

Lee Y.-S. , Sia J. F. , Nordheden K. J. , 2000, Mass spectrometric characterization
of BCl3/SF6 plasmas, Journal of Applied Physics, Vol. 88, No. 8, pp. 4507-4509

Feng M. S. , Chen J. Y. , Tang T. Y. , 1996, Reactive ion etching of GaN with BCl3/SF6
plasmas, Materials Chemistry and Physics, Vol. 45, No. 1, pp. 80-83

Pearton S. J. , Shul R. J. , Ren F. , 2000, A review of dry etching of GaN and related
materials, Materials Research Society Internet Journal of Nitride Semiconductor Research,
Vol. 5, pp. 11

Kiyoung Jang received the B.S. degree in electrical and computer engineering from
Ajou University in 2024, where he is currently pursuing an M.S. degree in intelligence
semiconductor engineering.
Junseok Heo received his B.S. degree in electrical engineering from Seoul National
University in 2006, and his M.S. and Ph.D. degrees in electrical engineering from
the University of Michigan, Ann Arbor, in 2009 and 2011, respectively. He was awarded
the Samsung Scholarship during his doctoral study. In 2012, he was a Post-Doctoral
Research Fellow with the Department of Electrical Engineering and Computer Science,
University of Michigan. In 2013, he joined Ajou University, where he is currently
a Full Professor with the Department of Intelligence Semiconductor Engineering and
the Department of Electrical and Computer Engineering. In 2019, he spent a sabbatical
year at the University of Virginia as a Visiting Associate Professor, supported by
the LG Yonam Foundation. His research interests include III-V compound semiconductor
devices, (ultra)wide bandgap devices, edge-computing neuromorphic devices, and the
monolithic integration of III-V, Si, and two-dimensional semiconductors.