Ab-initio Thermodynamic Study of Vapor Pressure of Mo(CO)$_6$ and Its Initial Surface
Reaction on SiO$_2$ (111) Surface
KimHa-Neul1
ThapaSaukinta1
KimSun-Hye1
LeeNa-Young1
KimJong-Yoon1
KimYeong-Cheol1
-
(School of Energy Materials and Chemical Engineering, Korea University of Technology
and Education, Cheonan, 31253, Korea)
Copyright © The Institute of Electronics and Information Engineers(IEIE)
Index Terms
ab-initio thermodynamics, Molybdenum hexacarbonyl (Mo(CO)$_6$), sublimation temperature, SiO$_2$, surface reactions, bond dissociation energy, atomic layer deposition
I. INTRODUCTION
In advanced semiconductor technologies, copper (Cu) and tungsten (W) have long been
employed as the primary interconnect materials in logic and memory devices [1]. However, as interconnect dimensions shrink below the electron mean free path (MFP)---typically
39.9 nm for Cu and 19.1 nm for W---enhanced electron scattering at surfaces and interfaces
leads to a significant increase in resistivity [2-4]. This resistivity rise, combined with increased RC delay and power consumption, has
made interconnect resistance a major bottleneck in chip performance [2] Accordingly, alternative materials to replace Cu in logic devices and W in 3D NAND
word lines are under active investigation. Among them, molybdenum (Mo) has emerged
as a promising candidate for advanced interconnects, particularly at the 2 nm technology
node. When deposited via atomic layer deposition (ALD), Mo demonstrates exceptionally
lower resistivity (186 n$\Omega$·m at a 24 nm thickness) and possesses shorter MFP
(${\sim}$11.2 nm) as compared to Cu and W, making it less sensitive to scaling effects
[2,4,5]. Moreover, due to its high melting point and excellent electromigration resistance
even above 10${}^{8}$ A cm${}^{-2}$, Mo can be integrated directly on dielectrics,
thereby eliminating the need for diffusion barrier layers such as Ta/TaN and TiN/WN,
which are essential in Cu and W-based interconnects respectively to prevent metal
diffusion into adjacent dielectric materials [2]. As illustrated in Fig. 1, Mo demonstrates lower resistivity than W across a wide range of thicknesses and
maintains comparable performance to Ru at nanoscale dimensions [6-8].
This highlights Mo's potential to overcome the resistivity scaling challenges faced
by conventional interconnect metals. These attributes underscore Mo's compatibility
and potential for next generation scaled semiconductor applications.
To enable practical integration of Mo via ALD, the selection of an appropriate precursor
is critical. Since the ALD process relies on sequential, self-limiting surface reaction,
which requires precursors to have sufficient volatility and thermal stability to achieve
uniform film growth. Commonly studied Mo precursors include molybdenum dichloride
dioxide (MoO${}_{2}$Cl${}_{2}$), molybdenum pentachloride (MoCl${}_{5}$), and molybdenum
hexacarbonyl (Mo(CO)${}_{6}$) [9,10]. Among these, Mo(CO)${}_{6}$ enables Mo and MoS${}_{2}$ film deposition at low temperatures
(155--175 ${{}^\circ}$C), reducing the thermal budget by over 60\% compared to MoCl${}_{5}$
(440--470 ${{}^\circ}$C), which is highly advantageous for thermally sensitive substrates
[11]. Although solid at room temperature, Mo(CO)${}_{6}$ exhibits high volatility and
a substantial vapor pressure (0.1-0.27 torr at 25-30 ${{}^\circ}$C), enabling easy
sublimation and gas-phase delivery without extensive heating [12,13]. These characteristics make Mo(CO)${}_{6}$ an ideal precursor for conformal Mo and
MoS${}_{2}$ film growth under thermally constrained conditions and within complex
3D structures. Due to its promising properties, numerous experimental studies have
been undertaken to characterize the vapor pressure of Mo(CO)${}_{6}$, including static
manometric methods using an MKS Baratron gauge [14], paraffin oil bath--based techniques for enhanced thermal precision [15], and effusion measurements fitted using the Clarke--Glew equation with various orifice
sizes [16]. However, computational studies to predict the vapor pressure of Mo(CO)${}_{6}$ still
remain limited. This underscores the need of conducting computational investigations
to complement experimental results and provide a more comprehensive understanding
of its thermodynamic properties.
Concurrently, extensive research studies have also been conducted using Mo(CO)${}_{6}$
as a precursor, aiming to evaluate its film characteristics and assess its suitability
across a range of thin-film applications such as Mo, MoO${}_{3}$, and MoS${}_{2}$
[17-20]. Joo et al. performed a plasma enhanced atomic layer deposition (PEALD) to deposit
nanocrystalline $\gamma$-Mo${}_{2}$N using Mo(CO)${}_{6}$/NH${}_{3}$-plasma as reactants
[18]. Taijun et al. demonstrated a PEALD process utilizing Mo(CO)${}_{6}$/O${}_{2}$-plasma
to deposit high-dielectric ($\kappa \approx 17$) MoO${}_{3}$ oxide films suitable
for MoS${}_{2}$ field-effect transistors [19]. Sachin et al. further studied the surface reaction mechanism and growth chemistry
of MoO${}_{3}$ thin films using thermal ALD with Mo(CO)${}_{6\ }$and ozone as reactants;
however, their study revealed a key limitation---residual carbon contamination---resulting
from the incomplete decomposition of the CO ligands at lower substrate temperature
(398 K) [20]. This limitation reveals incomplete understanding of how CO ligands are preferentially
desorbed, suggesting the need for further simulation-based investigations to address
this gap.
In this study, we applied Density functional theory (DFT) and ab-initio thermodynamics,
incorporating vibrational contributions to enhance the accuracy of Gibbs free energy--based
vapor pressure predictions for Mo(CO)${}_{6}$, and its initial surface interaction
with $\beta$-cristobalite SiO${}_{2}(111)$ surface. To gain further insight into the
mechanism and energy requirement for complete removal of the first CO bond from Mo(CO)${}_{6}$,
bond dissociation energies (BDE) of Mo-CO at 298 K was calculated. Consequently, the
precursor-adsorption chemistry and two CO desorption pathways were studied under the
experimentally relevant condition of 435 K and $1.31 \times 10^{-8}$ atm reported
by Taijun et al. [19]; the desorption pathway with the lowest computed Gibbs free energy was identified
as the most thermodynamically preferred route. Given that experimental determination
of precursor vapor pressure generally requires high-purity sample synthesis, precise
thermal-pressure control, and sophisticated equipment, we instead rely on DFT-based
ab-initio thermodynamic simulation approach---a faster and cost-effective computational
alternative---providing reliable, predictive insights into precursor behavior.
Fig. 1. Resistivity of metal thin films as a function of film thickness. Mo data are
from [7] for as-deposited PVD films on SiO$_2$; Ru and Cu data are from [8] for PVD and annealed films; W data are from [4].
II. CALCULATIONAL DETAILS
Fig. 2 shows Mo(CO)${}_{6}$ structures in solid and gaseous phases. Mo, C, and O atoms are
shown in purple, brown, and red, respectively. Solid Mo(CO)${}_{6}$ (space group Pnma)
has a unit cell of $6.44\times 11.37 \times 11.97$ Å$^{3}$ with 52 atoms (Mo: 4, C:
24, O: 24), and gaseous Mo(CO)${}_{6}$ (point group $O_{h}$) is modeled in a $15 \times
15 \times 15$ Å$^{3}$ cubic cell.
Fig. 2. Structure of Mo(CO)$_6$: (a) solid and (b) gaseous structures. Solid Mo(CO)$_6$
(space group $Pnma$) has a unit cell containing 52 atoms, while gaseous Mo(CO)$_6$
(point group $O_h$) consists of one Mo atom and six CO ligands. The purple, brown,
red colors correspond to molybdenum, carbon, and oxygen atoms, respectively.
All DFT calculations were carried out using the Vienna Ab-initio Simulation Package
(VASP) code [21-23]. The electron wave functions [24] were treated with the projector augmented wave (PAW) method developed by Kresse and
Joubert, and the Perdew-Burke-Ernzerhof (PBE) generalized gradient approximation (GGA)
was employed for the exchange-correlation energy [25]. K-point sampling was performed using $3 \times 2 \times 2$ Monkhorst-Pack grid for
solid Mo(CO)${}_{6}$ and $1 \times 1 \times 1$ grid for gaseous phase [26]. The calculational parameters for the solid phase were obtained from Materials Project
database [27]. Convergence criteria of $10^{-6}$ eV and $10^{-2}$ eV/Å were applied for electronic
and ionic optimizations, respectively [28-30].
The Gibbs free energy ($G$) was computed using DFT methods in conjunction with the
equations detailed in reference [9]. The expression for Gibbs free energy is given by
where $H$ is enthalpy, $T$ is temperature, $S$ is entropy, $U$ is internal energy,
$P$ is pressure, and $V$ is volume. For a solid phase, $PV = 0$, while for a gas phase,
$PV = k_{B} T$. Here, ${{E}}_{\rm{elec}}$ represents the electronic energy from DFT
at 0 K, $ZPE$ is the zero-point energy, $\int{{{C}}_{\rm{p}}{dT}}$ accounts for the
enthalpy change due to temperature, and $S_{\rm t}$, $S_{\rm r}$ and $S_{\rm v}$ represent
translational, rotational, and vibrational entropies, respectively. $ZPE$, $\int{{{C}}_{\rm{p}}{dT}}$,
and $S_{\rm v}$ were calculated using VASPKIT [31-33]. The terms $S_{\rm t}$, $S_{\rm r}$, and $S_{\rm v}$ were derived using the Sackur-Tetrode
equation, the rigid-rotor model, and harmonic oscillator approximation, respectively.
The vibrational degrees of freedom for both solid and molecular phases are defined
as $3N-6$, where $N$ is the number of atoms. To avoid any anomalous corrections, vibrational
frequencies below $50$ cm$^{-1}$ were adjusted to $50$ cm$^{-1}$. Given that translational
and rotational entropies are negligible in the solid phase, only vibrational contributions
were considered in the analysis. In this study, the vapor pressure of Mo(CO)${}_{6}$
was calculated by equating the Gibbs free energies of the solid and gaseous phases.
This relationship allows the determination of the pressure $P$ at a given $T$, which
corresponds to the vapor pressure. The Gibbs free energy for the gas phase includes
the translational entropy contribution $S_{\rm t}$, which accounts for $P$. For an
ideal gas, the translational entropy $S_{\rm trans}$ is given by
where $k_{B}$ is the Boltzmann constant, $m$ is the molecular mass, and $h$ is Planck's
constant.
For the calculation of BDE of Mo(CO)${}_{6}$ at 298 K (standard room temperature condition),
$D_{298}$(Mo(CO)${}_{6}$), we have incorporated the thermodynamic correction by adding
the integrated heat capacity term to the BDE at 0 K, $D_{0}$(Mo(CO)${}_{6}$), as expressed
in the following equations:
where $C_{P}$ denotes the heat capacity term for each molecule, ${{E}}_0{=}{{E}}_{{elec}}+
{ZPE}$ [34].
III. RESULTS AND DISCUSSION
Fig. 3 presents the relative Gibbs free energies of Mo(CO)${}_{6}$ in the solid and gaseous
phases as a function of temperature, normalized per Mo(CO)${}_{6}$ molecule, considering
four molecules per unit cell. The relative Gibbs free energies were calculated using
the solid phase Gibbs free energy as a reference state. The gaseous phase Gibbs free
energy is plotted under two distinct pressure conditions (1 atm and 10${}^{-3}$ atm).
As temperature increases, the Gibbs free energy of the gaseous phase decreases more
rapidly than that of the solid phase due to the gaseous phase's higher entropy. The
intersection between solid and gaseous Gibbs free energy curves corresponds to the
sublimation temperature of Mo(CO)${}_{6}$, which was calculated to be 385 K at 1 atm
and 296 K at 10${}^{-3}$ atm.
Fig. 3. Relative Gibbs free energy of Mo(CO)$_6$ in the solid and gaseous phases as
a function of temperature. Red dotted and yellow dashed curves represent the gaseous
phase at 1 atm and $10^{-3}$ atm, respectively, while the black solid curve indicates
the solid phase reference. Sublimation temperatures are identified by the intersection
points: 385 K at 1 atm and 296 K at $10^{-3}$ atm.
Fig. 4. Vapor pressure of Mo(CO)$_6$ as a function of temperature on logarithmic scale.
The solid line indicates the sublimation curve predicted by the ab-initio thermodynamics.
Vertical dotted lines represent the theoretical sublimation temperature (385 K) and
experimental value (424 K). Experimental data are taken from [14-16] for comparison.
Fig. 4 shows the vapor pressure of Mo(CO)${}_{6}$ as a function of temperature on logarithmic
scale. Vapor pressures were obtained from ab-initio thermodynamic calculations by
equating Gibbs free energy of solid and gas phases, as described in the calculation
details. The theoretical sublimation temperature at atmospheric pressure (1 atm) is
385 K, whereas the experimentally reported value is approximately 424 K [15,16]. The vapor pressure calculated using ab-initio thermodynamics is consistently higher
than the experimentally measured values across the examined temperature range. This
discrepancy between experimental and theoretical vapor pressures of Mo(CO)${}_{6}$
can be reasonably explained by considering the evaporation coefficient, as reported
for structurally analogous volatile oxides such as RuO${}_{4}$ [35]. In the case of RuO${}_{4}$, experimental vapor pressure was lower than theoretical
predictions and quantitatively attributed to a low evaporation coefficient of approximately
0.027, requiring correction by a factor of ${\sim}$44 to match calorimetric enthalpy
data. This behavior originates from limited vaporization kinetics, likely influenced
by surface interactions and molecular complexity. Despite this deviation, the theoretical
vapor pressure data remain valuable for preliminary screening of potential precursors,
offering a cost- and time-efficient alternative to real experimental measurements.
Table 1. Calculated bond length and bond dissociation energy (BDE), D$_{298}$, of
the Mo-CO and C-O bonds in Mo(CO)$_6$ at 298 K.
|
|
Bond length [Å]
|
Bond dissociation energy, D298 [eV]
|
|
This work
|
Reference
|
This work
|
Reference
|
|
Mo-CO
|
2.06
|
2.06 [39,41]
|
1.74
|
1.76 [40]
|
|
C-O
|
1.16
|
1.13 [41,43]
|
11.87
|
11.13 [42]
|
Table 1 shows bond length and BDE of Mo(CO)${}_{6}$ that are in good agreement with literature
[39-43]. The computed BDE of the Mo--CO bond (1.74 eV) is significantly lower than that of
the C--O bond (11.87 eV), indicating that the initial step in the adsorption mechanism
is likely characterized by dissociative chemisorption, in which a CO ligand detaches
from Mo(CO)${}_{6}$ rather than undergoing decomposition into C and O atoms. This
facilitates the movement of the Mo center toward the oxygen-rich sites on the SiO${}_{2}(111)$
surface, thereby promoting the formation of stable precursor--substrate interactions.
To simulate realistic surface conditions, this study employed a bare SiO${}_{2}(111)$
surface instead of a hydrogen-terminated one, under the assumption that surface hydrogen
species get removed through thermal annealing. While direct experimental evidence
specifically addressing thermal dehydroxylation of crystalline SiO${}_{2}(111)$ surfaces
remains limited, this assumption is indirectly supported by a previous study demonstrating
successful removal of surface hydrogen species from amorphous silica surfaces via
high-temperature annealing [36]. Moreover, crystalline $\beta$-cristobalite SiO${}_{2}(111)$ closely resembles amorphous
silica in structural characteristics such as density, bond lengths, and bond angles
[37], making it a widely accepted structural substitute in computational studies [9,38]. We acknowledge, however, that this dehydroxylated model is an approximation and
may not fully represent actual ALD conditions, where hydroxyl coverage is influenced
by temperature, exposure time, and other gas-phase interactions. Additional experimental
work under realistic ALD conditions would therefore be valuable for substantiating
and refining this modeling assumption.
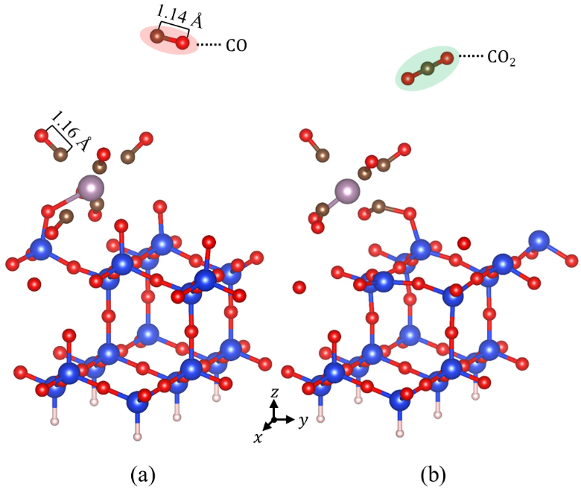
Fig. 5 illustrates two desorption pathways which were considered for the interaction between
Mo(CO)${}_{6}$ and the SiO${}_{2}$ surface and the Gibbs free energy for both reaction
condition was calculated:
where the dotted line ($\cdots $) indicates that the surface O's are coordinated to
Mo in Mo(CO)${}_{5}$. In the first pathway (Fig. 5(a)), bond dissociation of one of the six Mo-CO bonds leads to the loss of metal-to-ligand
$\pi$-back-donation, thereby strengthening the C-O bond. Thus, we observed a reduction
in bond length from 1.16 Å to 1.14 Å. While in the second pathway (Fig. 5(b)), the desorbed CO ligand subsequently reacts with one of the surface oxygen atoms
from the substrate to form CO${}_{2}$, which then desorbs. In order to evaluate the
thermodynamic preference between these two reaction pathways, the relative Gibbs free
energies of the optimized configurations were compared, resulting in the CO$_{2}$
desorption configuration (Fig. 5(b)) to be 2.52 eV lower than the CO desorption configuration (Fig. 5(a)) under the experimental conditions of 435 K and $1.31 \times 10^{-8}$ atm [19]. This substantial energy difference strongly supports that CO${}_{2}$ desorption
is more thermodynamically favorable than CO desorption. These findings clearly demonstrate
that surface oxygen atoms actively participate in the oxidation of CO ligands, thereby
facilitating the formation and desorption of CO${}_{2}$ during the initial decomposition
of Mo(CO)${}_{6}$ on the SiO${}_{2}$ surface. This result is consistent with previous
experimental studies reporting CO${}_{2}$ as the primary gaseous byproduct during
the initial decomposition of Mo(CO)${}_{6}$ on SiO${}_{2}$ [19,20].
Fig. 5. Mo(CO)$_6$ reaction on the SiO$_2(111)$ surface: (a) CO desorption and (b)
CO$_2$ desorption. Shaded regions indicate the desorbed species. Configuration (b)
is 2.52 eV more stable than (a), indicating a thermodynamic preference for CO$_2$
formation. The CO$_2$ desorption shown in (b) occurs under the experimental condition
of $T = 435$ K and $P = 1.31 \times 10^{-8}
IV. CONCLUSION
In this study, the thermodynamic properties and reaction pathways of the Mo(CO)${}_{6}$
precursor interacting with the SiO${}_{2}(111)$ surface were analyzed using DFT-based
ab-initio thermodynamics. Vapor pressure of Mo(CO)${}_{6}$ was determined to be 385
K at 1 atm. Thermodynamic comparisons of ligand desorption pathways revealed that
CO${}_{2}$ formation, induced by surface oxygen, is more favorable than simple CO
desorption, highlighting the active role of surface oxygen in promoting precursor
decomposition. These results demonstrate that first-principles simulations can serve
as a powerful and efficient tool for predicting key physicochemical properties of
precursors, offering a cost-effective alternative to complex and resource-intensive
experimental procedures.
ACKNOWLEDGMENTS
This research was supported by Korea Institute for Advancement of Technology(KIAT)
grant funded by the Korea Government(MOTIE) (RS-2024-00409639, HRD Program for Industrial
Innovation), and by the Education and Research Promotion Program of KOREATECH in 2024.
References
T. Mueller and E. Malic, ``Exciton physics and device application of two-dimensional
transition metal dichalcogenide semiconductors,'' npj 2D Materials and Applications,
vol. 2, no. 1, pp. 29, 2018.

K. van der Zouw, B. Y. van der Wel, A. A. Aarnink, R. A. Wolters, D. J. Gravesteijn,
and A. Y. Kovalgin, ``Low-resistivity molybdenum obtained by atomic layer deposition,''
Journal of Vacuum Science & Technology A, vol. 41, no. 5, 2023.

D. Gall, ``Electron mean free path in elemental metals,'' Journal of Applied Physics,
vol. 119, no. 8, 085101, 2016.

D. Choi, C.-S. Kim, D. Naveh, S. Chung, A. P. Warren, N. T. Nuhfer, M. F. Toney, K.
R. Coffey, and K. Barmak, ``Electron mean free path of tungsten and the electrical
resistivity of epitaxial (110) tungsten films,'' Physical Review B - Condensed Matter
and Materials Physics, vol. 86, no. 4, 045432, 2012.

R. J. Mehta, Y. Wang, A. Kulkarni, R. Walko, P. Turner, F. Cerio, and R. Caldwell,
``Ion beam deposition of low-resistivity tungsten and molybdenum for Interconnect
applications,'' Proc. of the 2024 IEEE International Interconnect Technology Conference
(IITC), IEEE, pp. 1-7, 2024.

J.-S. Lee, J. Cho, and C.-Y. You, ``Growth and characterization of $\alpha$ and $\beta$-phase
tungsten films on various substrates,'' Journal of Vacuum Science & Technology A,
vol. 34, no. 2, 2016.

V. Founta, J.-P. Soulié, K. Sankaran, K. Vanstreels, K. Opsomer, P. Morin, P. Lagrain,
A. Franquet, D. Vanhaeren, and T. Conard, ``Properties of ultrathin molybdenum films
for interconnect applications,'' Materialia, vol. 24, 101511, 2022.

S. Dutta, K. Sankaran, K. Moors, G. Pourtois, S. Van Elshocht, J. Bömmels, W. Vandervorst,
Z. Tőkei, and C. Adelmann, ``Thickness dependence of the resistivity of platinum-group
metal thin films,'' Journal of Applied Physics, vol. 122, no. 2, 2017.

H.-K. Kim, N.-Y. Lee, and Y.-C. Kim, ``Evaluation of vapor pressure of MoO$_2$Cl$_2$
and its initial chemical reaction on a SiO$_2$ surface by ab initio thermodynamics,''
Current Applied Physics, vol. 61, no. pp. 115-120, 2024.

N.-Y. Lee, S.-H. Kim, J.-Y. Kim, and Y.-C. Kim, ``Molecular structure and vapor pressure
of molybdenum pentachloride using ab-initio thermodynamics,'' Journal of the Korean
Physical Society, vol. 86, no. pp. 1-5, 2025.

Y. Huang and L. Liu, ``Recent progress in atomic layer deposition of molybdenum disulfide:
A mini review,'' Science China Materials, vol. 62, no. 7, pp. 913-924, 2019.

J. Mun, Y. Kim, I.-S. Kang, S. K. Lim, S. J. Lee, J. W. Kim, H. M. Park, T. Kim, and
S.-W. Kang, ``Low-temperature growth of layered molybdenum disulphide with controlled
clusters,'' Scientific reports, vol. 6, no. 1, 21854, 2016.

M. Bosi, ``Growth and synthesis of mono and few-layers transition metal dichalcogenides
by vapour techniques: A review,'' RSC Advances, vol. 5, no. 92, pp. 75500-75518, 2015.

T. Ohta, F. Cicoria, P. Doppelt, L. Beitone, and P. Hoffmann, ``Static vapor pressure
measurement of low volatility precursors for molecular vapor deposition below ambient
temperature,'' Chemical Vapor Deposition, vol. 7, no. 1, pp. 33-37, 2001.

W. Hieber and E. Romberg, ``Über Metallcarbonyle. XXI. Thermochemische untersuchungen
an den metallhexacarbonylen,'' Zeitschrift für Anorganische und Allgemeine Chemie,
vol. 221, no. 4, pp. 332-336, 1935.

M. J. S. Monte, A. R. Almeida, and R. Notario, ``Volatility and chemical stability
of chromium, molybdenum, and tungsten hexacarbonyls,'' Journal of Thermal Analysis
and Calorimetry, vol. 132, no. pp. 1201-1211, 2018.

T.-H. Kim, D. K. Nandi, R. Ramesh, S.-M. Han, B. Shong, and S.-H. Kim, ``Some insights
into atomic layer deposition of MoNx using Mo(CO)$_6$ and NH$_3$ and its diffusion
barrier application,'' Chemistry of Materials, vol. 31, no. 20, pp. 8338-8350, 2019.

Y.-H. Joo, D. K. Nandi, R. Ramesh, Y. Jang, J.-S. Bae, T. Cheon, and S.-H. Kim, ``Atomic
layer deposited Mo2N thin films using Mo(CO)$_6$ and NH$_3$ plasma as a Cu diffusion
barrier,'' Journal of Alloys and Compounds, vol. 858, 158314, 2021.

T. Dai, Y. Ren, L. Qian, and X. Liu, ``Characterization of molybdenum oxide thin films
grown by atomic layer deposition,'' Journal of Electronic Materials, vol. 47, pp.
6709-6715, 2018.

S. Shendokar, M. F. Hossen, and S. Aravamudhan, ``Wafer-scale ALD synthesis of MoO$_3$
Sulfurized to MoS$_2$,'' Crystals, vol. 14, no. 8, 673, 2024.

G. Kresse and J. Hafner, ``ab initio molecular dynamics for liquid metals,'' Physical
Review B, vol. 47, no. 1, pp. 558-561, 1993.

G. Kresse and J. Furthmüller, ``Efficiency of ab-initio total energy calculations
for metals and semiconductors using a plane-wave basis set,'' Computational materials
science, vol. 6, no. 1, pp. 15-50, 1996.

G. Kresse and J. Furthmüller, ``Efficient iterative schemes for ab initio total-energy
calculations using a plane-wave basis set,'' Physical Review B, vol. 54, no. 16, pp.
11169, 1996.

P. E. Blöchl, ``Projector augmented-wave method,'' Physical review B, vol. 50, no.
24, pp. 17953, 1994.

J. P. Perdew, K. Burke, and M. Ernzerhof, ``Generalized gradient approximation made
simple,'' Physical Review Letters, vol. 77, no. 18, pp. 3865-3868, 1996.

H. J. Monkhorst and J. D. Pack, ``Special points for Brillouin-zone integrations,''
Physical Review B, vol. 13, no. 12, pp. 5188-5192, 1976.

M. Project, ``Materials data on Mo(CO)$_6$ by materials project,'' Lawrence Berkeley
National Laboratory (LBNL).

J.-S. Kim and Y.-C. Kim, ``Proton conduction in nonstoichiometric $\sigma_3$BaZrO$_3$
(210)[001] tilt grain boundary using density functional theory,'' Journal of the Korean
Ceramic Society, vol. 53, no. 3, pp. 301-305, 2016.

J.-Y. Jo, H.-K. Kim, J. Kim, I.-G. Choi, and Y.-C. Kim, ``Phase stability of double
perovskite in Pr [Ba$_{1-\rm x}$Sr$_{\rm x}$][Co$_{1- \rm y}$Fe$_{\rm y}$]2O5.5 using
genetic algorithm and density functional theory,'' Journal of the Korean Ceramic Society,
vol. 60, no. 2, pp. 434-439, 2023.

J.-S. Kim, H.-W. Lee, and S.-T. Park, ``Adsorption of dimethylaluminum isopropoxide
(DMAI) on the Al$_2$O$_3$ surface: A machine-learning potential study,'' Journal of
Science: Advanced Materials and Devices, vol. 9, no. 3, 100754, 2024.

V. Wang, N. Xu, J. Liu, G. Tang, and W. Geng, ``VASPKIT: A user-friendly interface
facilitating high-throughput computing and analysis using VASP code,'' Computer Physics
Communications, vol. 267, 108033, 2021.

M. Jakhar, V. Barone, and Y. Ding, ``Theoretical insights into single-atom catalysts
for improved charging and discharging kinetics of Na–S and Na–Se batteries,'' Nanoscale,
vol. 16, no. 27, pp. 12982-12991, 2024.

Y. Xiao, C. Shen, W. Zhang, M. Zhang, H. Zhang, T. Shao, Z. Xiong, Y. Ding, S. Hao,
and L. Liu, ``Electrocatalytic biomass upgrading of furfural using transition‐metal
borides via density functional theory investigation,'' Small, vol. 19, no. 9, 2205876,
2023.

S. J. Blanksby and G. B. Ellison, ``Bond dissociation energies of organic molecules,''
Accounts of Chemical Research, vol. 36, no. 4, pp. 255-263, 2003.

I. Nuta, F. Virot, E. Fischer, and C. Chatillon, ``Thermodynamic assessment of RuO4
oxide,'' Calphad, vol. 80, 052402, 2023.

A. M. Schrader, J. I. Monroe, R. Sheil, H. A. Dobbs, T. J. Keller, Y. Li, S. Jain,
M. S. Shell, J. N. Israelachvili, and S. Han, ``Surface chemical heterogeneity modulates
silica surface hydration,'' Proc. of the National Academy of Sciences, vol. 115, no.
12, pp. 2890-2895, 2018.

D. A. Keen and M. T. Dove, ``Local structures of amorphous and crystalline phases
of silica, SiO$_2$, by neutron total scattering,'' Journal of Physics: Condensed Matter,
vol. 11, no. 47, 9263, 1999.

J. Kim, J.-Y. Jo, I.-G. Choi, and Y.-C. Kim, ``Search for adsorption geometry of precursor
on surface using genetic algorithm: MoO2Cl2 on SiO$_2$ surface,'' Journal of the Korean
Ceramic Society, vol. 57, no. 6, pp. 669-675, 2020.

J. Bohnenberger, D. Kratzert, S. M. N. Gorantla, S. Pan, G. Frenking, and I. Krossing,
``Group 6 hexacarbonyls as ligands for the silver cation: Syntheses, characterization,
and analysis of the bonding compared with the isoelectronic group 5 hexacarbonylates,''
Chemistry–A European Journal, vol. 26, no. 71, pp. 17203-17211, 2020.

G. P. Smith and R. M. Laine, ``Organometallic bond dissociation energies. Laser pyrolysis
of pentacarbonyliron,'' Journal of Physical Chemistry, vol. 85, no. 12, pp. 1711–1715,
1981.

T. C. Mak, ``Crystal structure of molybdenum hexacarbonyl,'' Zeitschrift für Kristallographie-Crystalline
Materials, vol. 166, no. 1-4, pp. 277-282, 1984.

B. De Darwent, “Bond dissociation energies in simple molecules,” NSRDS-NBS 31, 1970.

E. S. Stoyanov and S. E. Malykhin, ``Carbon monoxide protonation in condensed phases
and bonding to surface superacidic Brønsted centers,'' Physical Chemistry Chemical
Physics, vol. 18, no. 6, pp. 4871-4880, 2016.

Ha-Neul Kim received her B.S. degree in energy materials and chemical engineering
and completed an interdisciplinary major in semiconductor materials, components, and
equipment at Korea University of Technology and Education. She is currently pursuing
an M.S. degree in energy materials engineering at KOREATECH. Her research focuses
on atomic layer deposition (ALD) precursors for semiconductor applications, including
vapor pressure evaluation and surface reaction analysis based on ab-initio calculations
using density functional theory (DFT).
Saukinta Thapa received her B.S. degree in chemical engineering from Kathmandu
University, Nepal, in 2022. Currently, she is pursuing a master studies in energy
materials engineering at Korea University of Technology and Education, Republic of
Korea, as a Global Korea Scholarship (GKS) awardee. Her main research interest centers
on computational surface science and thin-film engineering, employing DFT modelling
to design ALD precursors and optimize growth pathways for indium-oxide films in next-generation
oxide electronics.
Sun-Hye Kim received her B.S. degree in energy materials and chemical engineering
and an M.S. degree in energy materials engineering from Korea University of Technology
and Education. Her primary research interests focus on semiconductor deposition processes
using DFT and ab-initio thermodynamics. She also has research experience in fuel cell
technology, particularly in investigating the phase stability of catalysts.
Na-Young Lee received her B.S. degree in energy materials and chemical engineering,
and an M.S. degree in energy materials engineering at Korea University of Technology
and Education. She is currently pursuing a Ph.D. degree at SKKU Advanced Institute
of Nanotechnology (SAINT), Sungkyunkwan University. Her research interests lie in
the computational investigation of semiconductor and solar cell materials, with a
particular focus on density functional theory.
Jong-Yoon Kim received his B.S. degree in energy materials and chemical engineering
and currently pursuing an M.S. degree in energy materials and chemical engineering
at Korea University of Technology and Education. His research focuses on the phase
stability of various energy-related materials, including electrolytes, electrodes,
and catalysts, using DFT and ab-initio thermodynamics.
Yeong-Cheol Kim received his B.S. and M.S. degrees in inorganic engineering from
Seoul National University and a Ph.D. degree in materials science and engineering
from Northwestern University. He is currently a Professor in Energy Materials and
Chemical Engineering at Korea University of Technology and Education. His research
focuses on atomic layer deposition precursors and ceramic fuel cells, utilizing DFT.